The organic foods products are limited

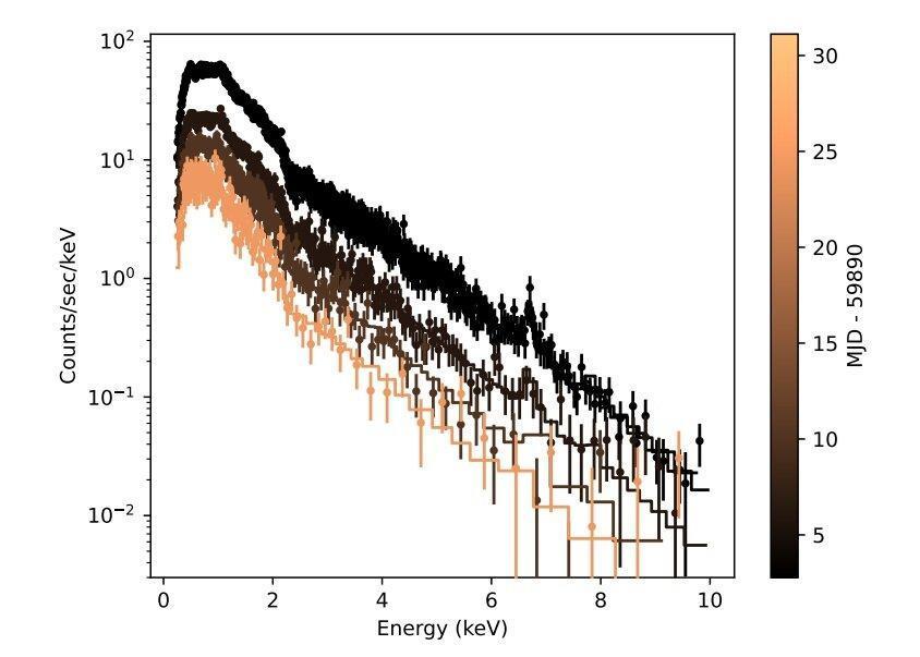
Супервспышка представляет собой мощный выброс энергии с поверхности звезды, а изучение этого явления позволяет лучше понять процессы, происходящие в ее магнитной оболочке. HD 251108 — это эволюционировавшая магнитно-активная звезда K-типа, примерно в семь раз больше Солнца, с температурой около 4460 кельвинов. Наблюдения проводились с использованием космического телескопа Neutron Star Interior Composition Explorer (NICER) и наземных телескопов в течение 28 дней, что позволило зафиксировать фазу затухания вспышки. Используя данные о корональной температуре и динамике светимости, ученые смогли детально описать характеристики этого события. Супервспышка 2022 года достигла пикового потока около 10 дециллионов эрг в секунду в диапазоне 0,5-4,0 килоэлектронвольт (кэВ), что делает ее одной из самых мощных зарегистрированных вспышек. Время затухания составило 2,2 дня, а спустя 10 дней после пика наблюдалась кратковременная фаза повторного нагрева, которая изменила кривую блеска. Исследование также показало, что длина вспышечной петли на HD 251108 была в 2-4 раза больше радиуса самой звезды. Уровень химического изобилия в течение вспышки оставался стабильным и соответствовал активным звездам с эффектом обратного первого ионизационного потенциала (IFIP). Анализ кривой блеска выявил вращательную модуляцию с периодом 21,3 дня, предположительно вызванную большими стабильными звездными пятнами, которые вращаются вместе со звездой. Наблюдаемая фотометрическая изменчивость также указывает на долгосрочные изменения, что соответствует жизни этих звездных пятен в течение нескольких лет.